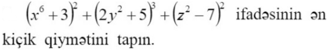
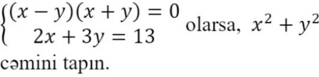
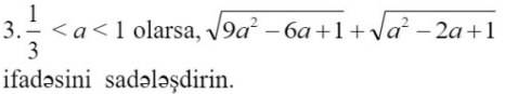
Riyaziyyat
● MİQ / Sertifikasiya
Nicat Bağışzadə
Hazırkı Liderlər
Şəkər Həsənli
44.5 bal
00 : 24 : 38
Sadiq Məmmədo...
38 bal
00 : 01 : 28
Aytən
21 bal
00 : 19 : 02
İstifadəçi rəyləri
3.3
Total nəticə
%25%25%0%0%50
Rəylər
Sadiq
26-02-2026
Sadiq
26-02-2026
Əladı sadəcə az sınaq var burda
Davamını oxu
Amin Quliyev
20-02-2026
Amin Quliyev
20-02-2026
Nicat baxızzadə🫶
Davamını oxu
qəmər
19-08-2025
qəmər
19-08-2025
yamanda sualdı beləşeyolar
Davamını oxu
Şıxalıyev Rahib...
09-02-2025
Şıxalıyev Rahib...
09-02-2025
Çox sağolun, əla sınaqdır
Davamını oxu